• Предмет: Математика
  • Автор: misspodarok87
  • Вопрос задан 7 лет назад

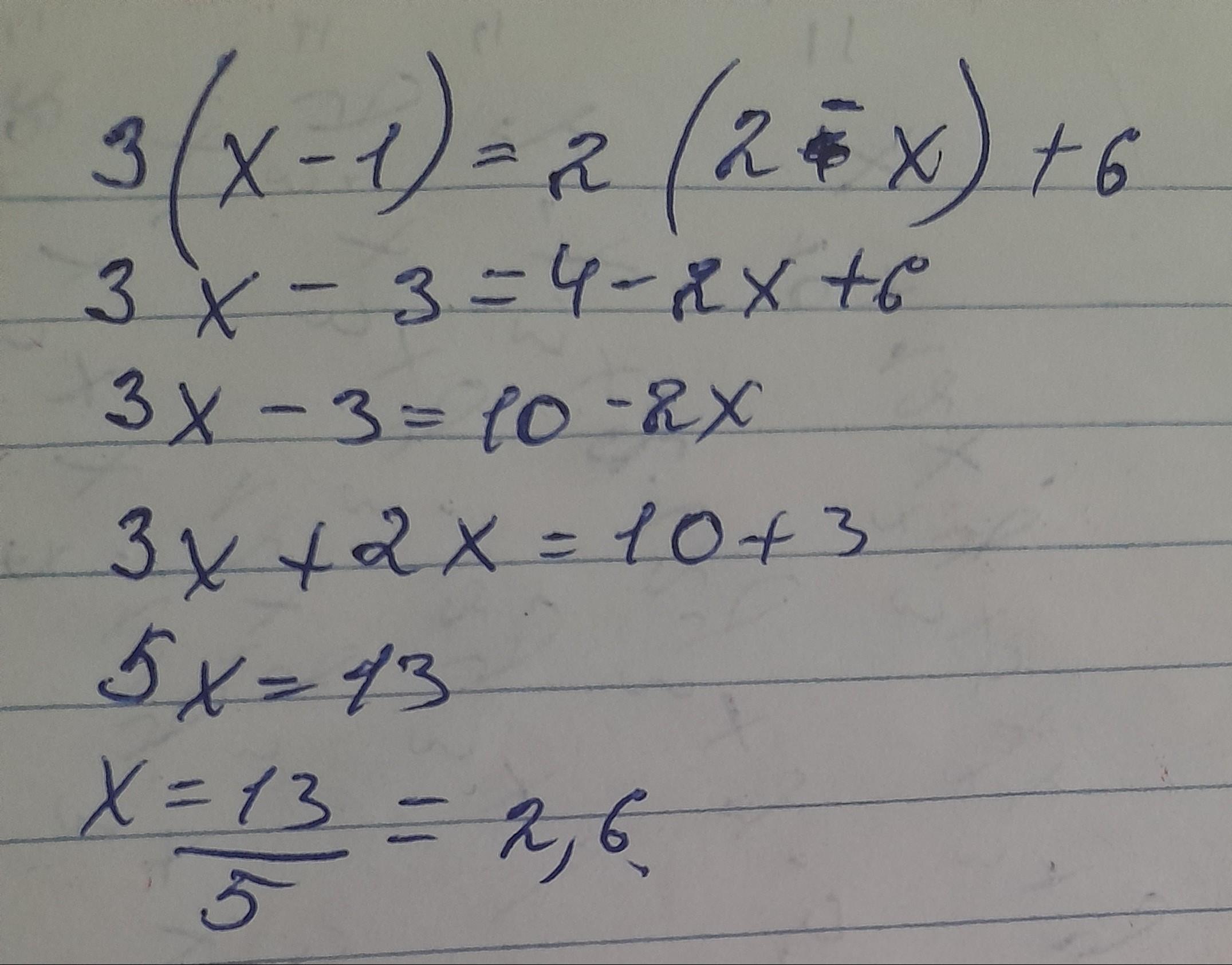
3×(х-1)=2×(2-х)+6варианты ответов а)х=4 б)х=5 с)х=4/5 д)х=13/5 е)х=7/5

Ответы

Ответ дал: sunflower8729
1

Ответ:

x=13/5=2,6

__________

Приложения:

sunflower8729: решение нужно?
Ответ дал: tetamotatetyamotya
1

Ответ:вот

Пошаговое объяснение:

Приложения:

sunflower8729: хех
Вас заинтересует