• Предмет: Геометрия
  • Автор: Artemchik01
  • Вопрос задан 7 лет назад

Помогите решить 7 класс нужно только 1 задачу но можно и 2 срочнооо пожалуйстааа...

Приложения:

Ответы

Ответ дал: tewithdimitry
0

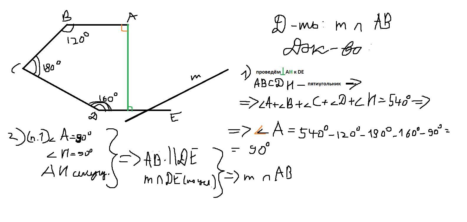
Смотрите прикреплённые файлы

Приложения:
Вас заинтересует