Ответы
Ответ дал:
0
Ответ:
Смотри решение на фото...
Приложения:

Ответ дал:
0
Ответ:
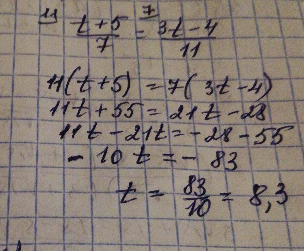
8,3
Объяснение:
Чтобы убрать знаменатель нужно умножить каждую из двух частей уравнения на знаменатель из противоположной части
11(t+5)=7(3t-4)
11t+55=21t-28; 21t-11=55+28; 10t=83; t=83/10=8,3
Вас заинтересует
2 года назад
2 года назад
2 года назад
2 года назад
8 лет назад
8 лет назад
9 лет назад
9 лет назад