• Предмет: Геометрия
  • Автор: elizavetamogilnaa5
  • Вопрос задан 7 лет назад

дам 20 балов помогите.

Приложения:

Ответы

Ответ дал: pfrog
1

Ответ:

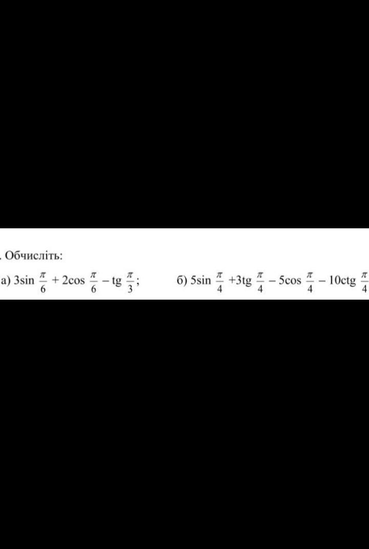
a)1,5

b)-7

Объяснение:

Вас заинтересует