ДАЮ 90 БАЛОВ
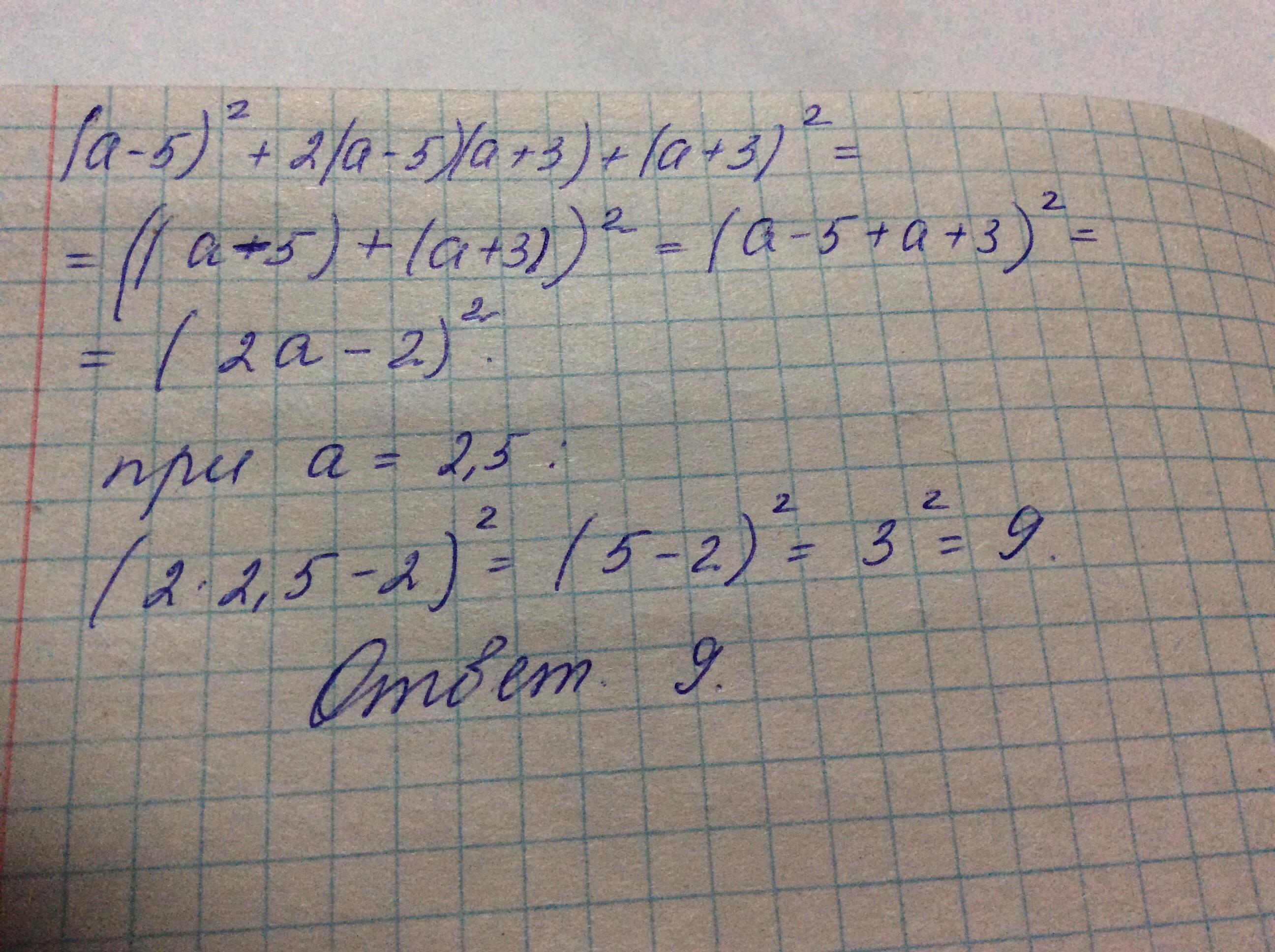
запишите выражение (a-5)^2+2(a-5)(a+3)+(a+3)^2 в виде квадрата двучлена и найдите его значения при a=2,5
Ответы
Ответ дал:
9
Ответ: 9
Объяснение:
смотри
Приложения:

Ответ дал:
3
Ответ:
(а-5)²+2(а-5)(а+3)+(а+3)²=(а-5+а+3)²=(2а-2)²;
подставим. (2*2,5-2)²=(5-2)²=3²=9
Объяснение:
формула
а²+2аб+б²=(а+б)².
Вас заинтересует
2 года назад
2 года назад
2 года назад
2 года назад
8 лет назад
8 лет назад
9 лет назад