• Предмет: Алгебра
  • Автор: kohsofi7
  • Вопрос задан 7 лет назад

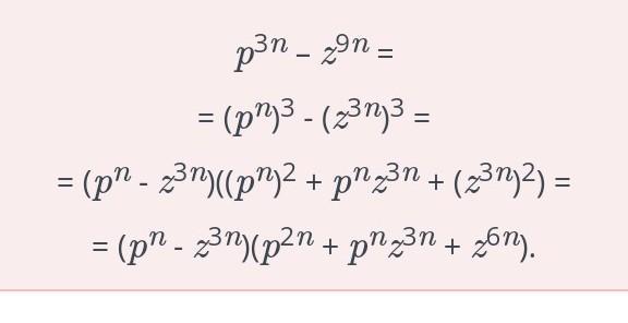
Разложи на множители. Заполни пропуски

Приложения:

Ответы

Ответ дал: tamaramakarovaa1950
3

Ответ:

ответ на фото,надеюсь понятно

Приложения:
Вас заинтересует