Написать функцию на языке C++​

Приложения:

Ответы

Ответ дал: Rediska873
1

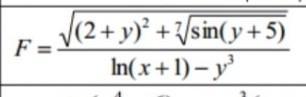
float F(float x, float y)

{

       return (sqrt( pow((2+y), 2) + pow(sin(y + 5), 1/7.0) )) / (log(x + 1) - pow(y, 3));

}


Rediska873: возможно область определения не пролная)
abdrey123: работает, только когда я хочу посчитать то выскакивают ошибки: " pow: Overflow error"
Rediska873: какие числа?
Rediska873: x , y
abdrey123: уже заработало
Вас заинтересует