Ответы
Ответ дал:
0
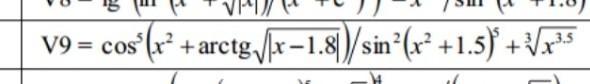
float V9(float x)
{
return pow(cos((x*x + atan(sqrt(fabs(x - 1.8)))) / pow(sin(pow(x*x + 1.5, 5)), 2) + pow(pow(x, 3.5), 1/3.0)), 5);
}
// nan если не существует
Ответ дал:
0
Відповідь:
#include <iostream>
#include <cmath>
using namespace std;
float func(float x){
float V9;
V9 = pow(cos((x * x + atan(sqrt(abs(x - 1.8)))) / pow(sin(pow(x*x + 1.5, 5)), 2) + pow(pow(x, 3.5), 1/3.0)), 5);
return V9;
}
int main(){
float x;
cout << "Enter x: ";
cin >> x;
cout << "V9 = " << func(x) << endl;
return 0;
}
Пояснення:
Вас заинтересует
2 года назад
2 года назад
3 года назад
3 года назад
8 лет назад
8 лет назад
10 лет назад
10 лет назад