• Предмет: Алгебра
  • Автор: 4elovek81
  • Вопрос задан 7 лет назад

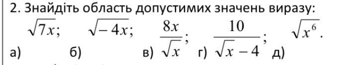
Знайдіть область допустимих значень виразу:

Приложения:

Ответы

Ответ дал: NNNLLL54
1

Ответ:

Подкоренное выражение должно быть неотрицательным. Знаменатель дроби должен быть отличен от 0 .

1)\ \ \sqrt{7x}\ \ \Rightarrow \ \ \ 7x\geq 9\ \ ,\ \ \boxed{\ x\geq 0\ }\\\\\\2)\ \ \sqrt{-4x}\geq 0\ \ \Rightarrow \ \ \  -4x\geq 0\  \,\ \ \boxed{\ x\leq 0\ }\\\\\\3)\ \ \dfrac{8x}{\sqrt{x}}\ \ \ \Rightarrow \ \ \ \left\{\begin{array}{l}x\geq 0\\\sqrt{x}\ne 0\end{array}\right\ \ \left\{\begin{array}{l}x\geq 0\\x\ne 0\end{array}\right\ \ \ \Rightarrow \ \ \boxed{\ x>0\ }

4)\ \ \dfrac{10}{\sqrt{x}-4}\ \ \Rightarrow \ \ \ \left\{\begin{array}{l}x\geq 0\\\sqrt{x}-4\ne 0\end{array}\right\ \ \left\{\begin{array}{l}x\geq 0\\\sqrt{x}\ne 4\end{array}\right\ \ \left\{\begin{array}{l}x\geq 0\\x\ne 16\end{array}\right

\boxed{\ x\in [\ 0\ ;\ 16\, )\cup (\ 16\ ;+\infty \, )\ }

5)\ \ \sqrt{x^6}\ \ \Rightarrow \ \ \ x^6\geq 0\ \ \ \Rightarrow \ \ \ \boxed{\ x\in (-\infty ;+\infty )\ }

Вас заинтересует