• Предмет: Алгебра
  • Автор: ropenope361
  • Вопрос задан 7 лет назад

Помогите алгебра срочно​

Приложения:

Ответы

Ответ дал: NNNLLL54
2

Ответ:

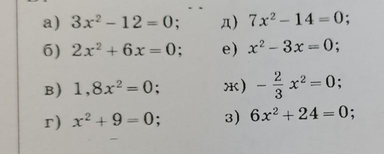
Неполные квадратные уравнения типа  ax^2+bx=0  можно решить, если вынести общий множитель за скобки. Получим произведение, равное 0 . А это будет в случае, если хотя бы один из множителей равен 0 .

1)\ \ 3x^2-12=0\ \ ,\ \ x^2=4\ \ ,\ \ x=\pm 2\\\\2)\ \ 2x^2+6x=0\ \ ,\ \ 2x\cdot (x+3)=0\ \ ,\ \ x_1=0\ ,\ x_2=-3\\\\3)\ \ 1,8x^2=0\ \ ,\ \ x^2=0\ \ ,\ \ x=0\\\\4)\ \ x^2+9=0\ \ \to \ \ x^2=-9<0

квадрат выражения не может быть отрицательным, поэтому нет решений ,  x\in \varnothing  .

5)\ \ 7x^2-14=0\ \ ,\ \ x^2=2\ \ ,\ \ x=\pm \sqrt2\\\\6)\ \ x^2-3x=0\ \ ,\ \ x\cdot (x-3)=0\ \ ,\ \ x_1=0\ ,\ x_2=3\\\\7)\ \ -\dfrac{2}{3}\, x^2=0\ \ \to \ \ x^2=0\ \ ,\ \ x=0\\\\8)\ \ 6x^2+24=0\ \ ,\ \ x^2=-4<0\ \ \Rightarrow \ \ x\in \varnothing


ropenope361: Спасибо большое!
ropenope361: Если не трудно у меня в вопросах есть ещё такое же однотипное задание
Вас заинтересует