• Предмет: Алгебра
  • Автор: rosabarboskinaxxx
  • Вопрос задан 7 лет назад

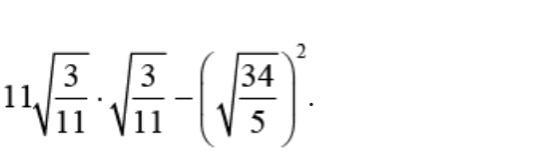
помогите пожалуйста решить алгебру, СРОЧНО!

Приложения:

Ответы

Ответ дал: andrey266385
0

Ответ:

-359/55

Объяснение:

либо в десятичной -6,527

Вас заинтересует