Ответы
Ответ дал:
0
Ответ:
Объяснение:
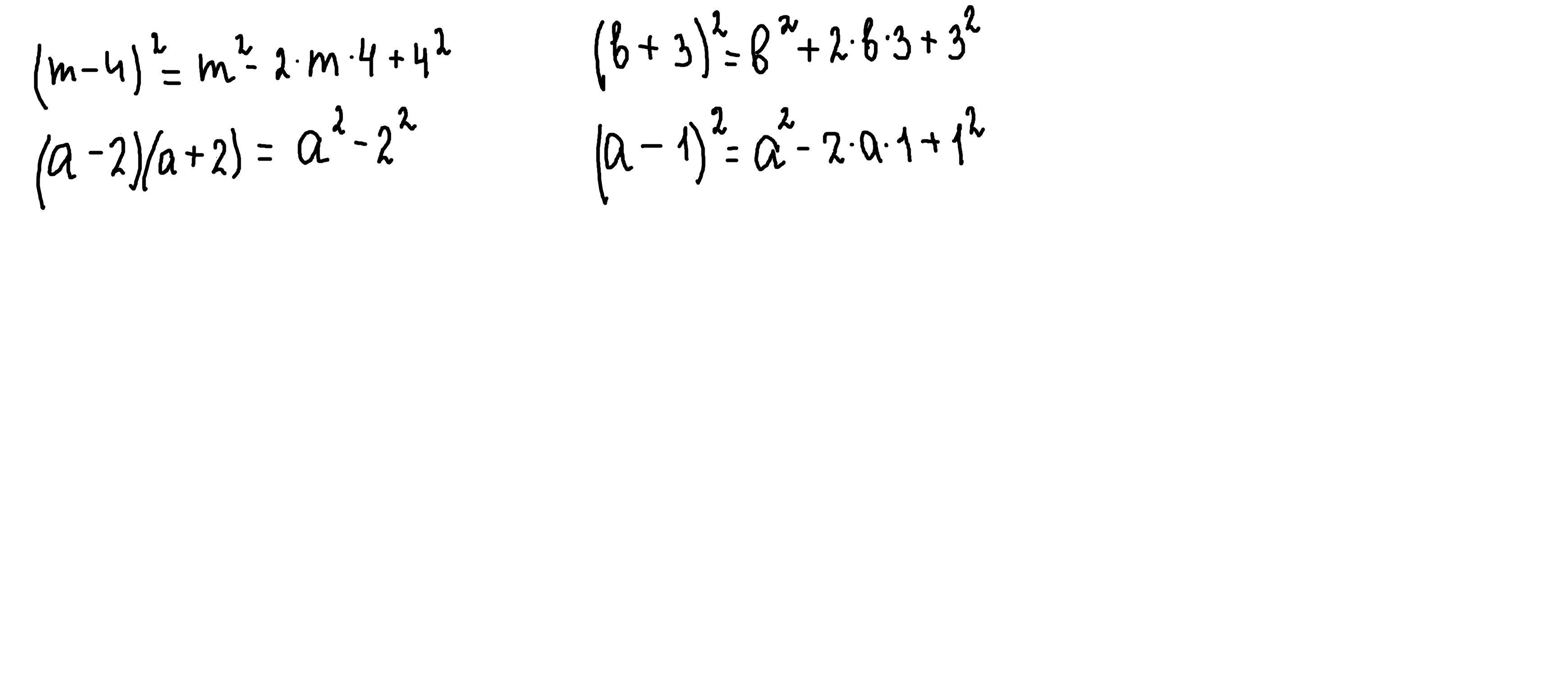
верный ответ под буквой Б
находим его по формуле (а+в)²=а²+2ав+в²
внизу написала какими должны верные правые части
Приложения:

selfcare39:
здравствуйте, помогите пожалуйста с алгеброй задание у меня в профиле отмечу 5 звёзд и сделаю лучший ответ
Ответ дал:
0
расписала кратко, когда стоит степень за скобкой , мы раскрывая скобки , умножаем эту степень на все числа, либо буквы, которые есть в скобке.
Приложения:

Вас заинтересует
2 года назад
2 года назад
2 года назад
2 года назад
8 лет назад
9 лет назад
9 лет назад