Ответы
Ответ дал:
0
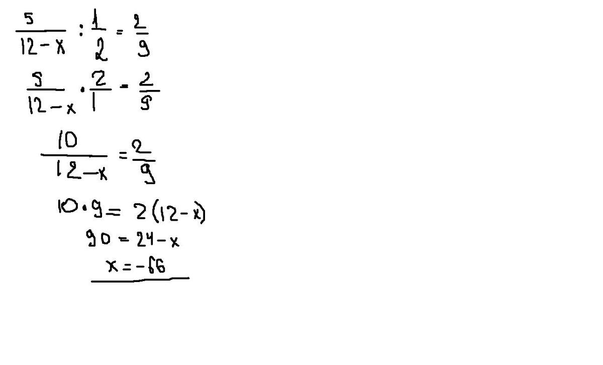
(5/12-х):1/2= 2/9
(5/12-х)= 2/9 * 2/1
5/12 - x = 4/9
x =5/12 -4/9 = (3*5 -4*4) /36 = -1/36
x = - 1/36
(5/12-х)= 2/9 * 2/1
5/12 - x = 4/9
x =5/12 -4/9 = (3*5 -4*4) /36 = -1/36
x = - 1/36
Ответ дал:
0
в ответах ответ 11/36
Ответ дал:
0
))))))))))))))))))))))))))))))))))))))))))))))))))))).
Приложения:

Вас заинтересует
2 года назад
2 года назад
8 лет назад
10 лет назад
10 лет назад