• Предмет: Математика
  • Автор: Lym1porn
  • Вопрос задан 7 лет назад

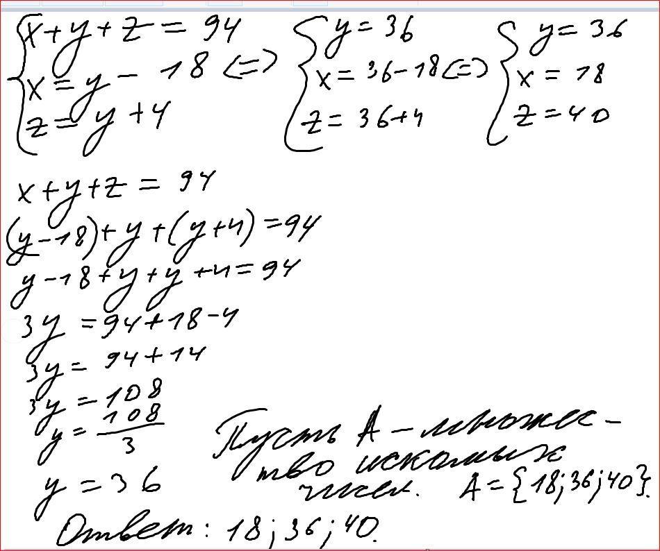
поезда. 898. Значение суммы трех чисел равно 94. Известно, что первое число на 18 меньше второго, третье число на 4 больше второго. Найдите эти числа. Сапа младше Коли на 3 го-
Помогите;(​

Ответы

Ответ дал: ivanivanov200200200
1

Ответ:

Пошаговое объяснение:

Приложения:

Lym1porn: Спасибо
Вас заинтересует