• Предмет: Математика
  • Автор: remindg54
  • Вопрос задан 7 лет назад

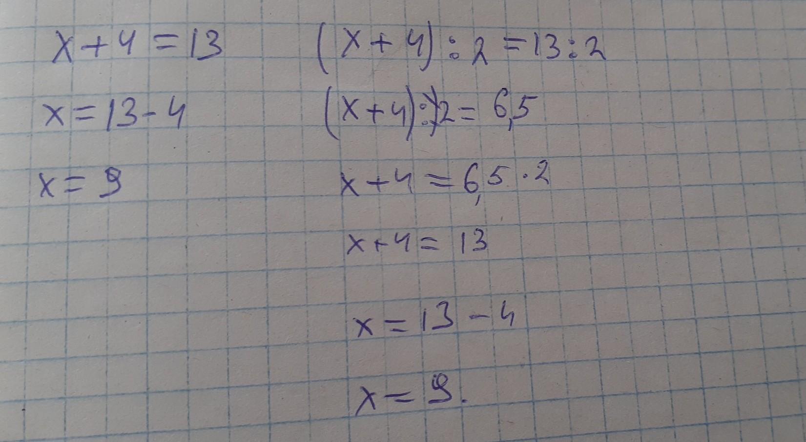
х+4=13жане (х+4):2=13:2 Нужна сейчас !​

Ответы

Ответ дал: nunu16032009
1

Ответ:

(х+4):2=13:2 \\ 2 \times 13 =( x + 4)2 \\ 2x + 8 = 26 \\ 2 x= 26 - 8 \\ 2x = 18 \\ x =  \frac{18}{2}  \\ x = 9

х+4=13 \\ x = 13 - 4 \\ x = 9


remindg54: спасибо !
nunu16032009: Пожалуйста❗
nunu16032009: ОБРАЩАЙСЯ❗
Ответ дал: Dauletos1
1

Пошаговое объяснение:

удачииииииииииииии!!!!!!

Приложения:
Вас заинтересует