• Предмет: Математика
  • Автор: albinaratner916
  • Вопрос задан 7 лет назад

помогите пажалуйста. ​

Приложения:

Ответы

Ответ дал: arinaryys00
0
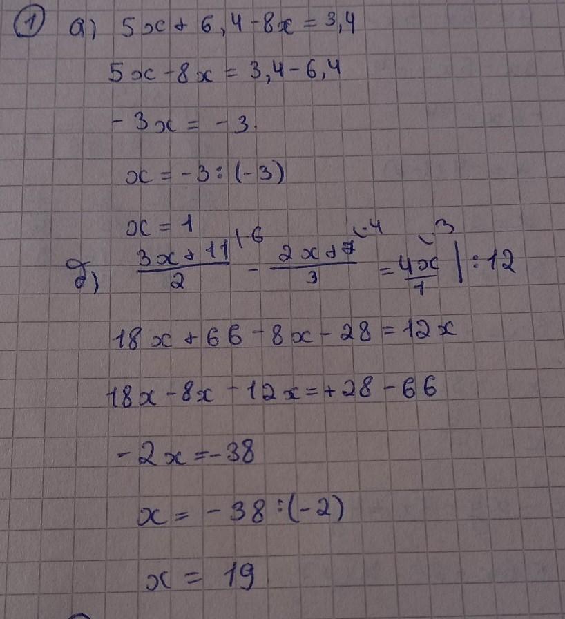
ответ: x=1
объяснение:
5х+2(3,2-4х)=3,4
5х+6,4-8х=3,4
5х-8х=3,4-6,4
-3х=-3
х=-3:(-3)
х=1
Ответ дал: lalichsofia
1

Ответ:

Решение на фото

--------------------------

Приложения:
Вас заинтересует