• Предмет: Алгебра
  • Автор: 89220377222danil
  • Вопрос задан 7 лет назад

Помогите
Не понятно
Ничего

Приложения:

Ответы

Ответ дал: parus77
0

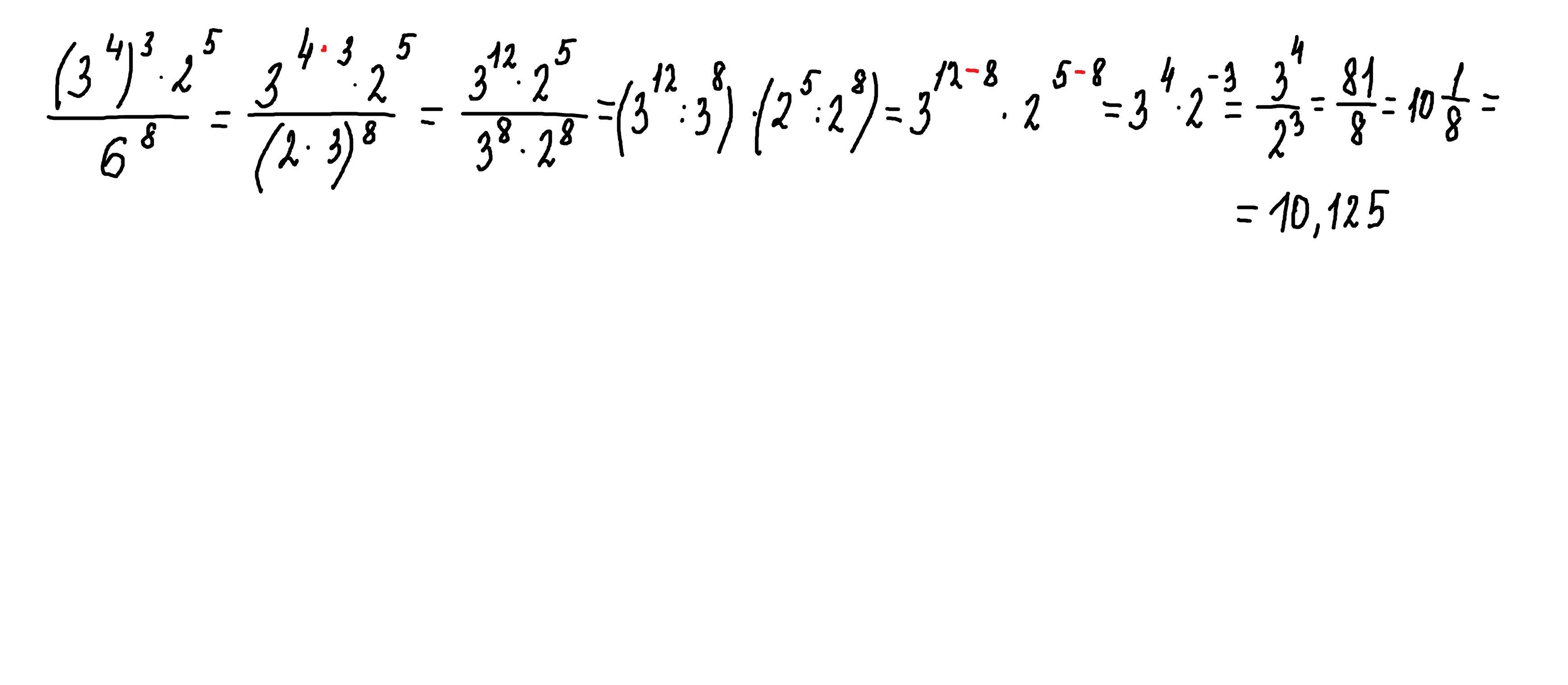
Ответ:

10,125

Объяснение:

при возведении степени в степень  показатели перемножаются,при умножении степеней с одинаковым основанием -показатели складываются,при делении-вычитаются.

решение внизу

если где то непонятно-спрашивай.

Приложения:
Вас заинтересует