• Предмет: Математика
  • Автор: deepend369
  • Вопрос задан 7 лет назад

математика помогите пожалуйста​

Приложения:

Ответы

Ответ дал: Zombynella
1

Ответ:

В решении.

Пошаговое объяснение:

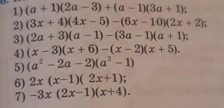
1) (а + 1)(2а - 3) + (а - 1)(3а + 1) =

= 2а² - 3а + 2а - 3 + 3а² + а - 3а - 1 =

= 5а² - 3а - 4;

2) (3х + 4)(4х - 5) - (6х - 10)(2х + 2) =

= 12х² - 15х + 16х - 20 - (12х² + 12х - 20х - 20) =

= 12х² - 15х + 16х - 20 - (12х² - 8х - 20) =

= 12х² - 15х + 16х - 20 - 12х² + 8х + 20 =

= 9х;

3) (2а + 3)(а - 1) - (3а - 1)(а + 1) =

= 2а² - 2а + 3а - 3 - (3а² + 3а - а - 1) =

= 2а² - 2а + 3а - 3 - (3а² + 2а - 1) =

= 2а² - 2а + 3а - 3 - 3а² - 2а + 1 =

= -а² - а - 2;

4) (х - 3)(х + 6) - (х - 2)(х + 5) =

= х² + 6х - 3х - 18 - (х² + 5х - 2х - 10) =

= х² + 6х - 3х - 18 - (х² + 3х - 10) =

= х² + 6х - 3х - 18 - х² - 3х + 10 =

= -8;

5) (а² - 2а - 2)(а² - 1) =

= а⁴ - 2а³ - 2а² - а² + 2а + 2 =

= а⁴ - 2а³ - 3а² + 2а + 2;

6) 2х(х - 1)(2х + 1) =

= 2х(2х² + х - 2х - 1) =

= 2х(2х² - х - 1) =

= 4х³ - 2х² - 2х;

7) -3х(2х - 1)(х + 4) =

= -3х(2х² + 8х - х - 4) =

= -3х(2х² + 7х - 4) =

= -6х³ - 21х² + 12х.

Вас заинтересует