• Предмет: Алгебра
  • Автор: bhbbccghbb
  • Вопрос задан 7 лет назад

Помогите!
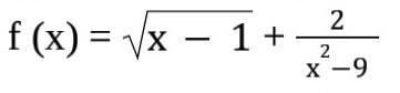
Найти область определения функции ​

Приложения:

Ответы

Ответ дал: 1Hallo2
1

Ответ:

[ 1; 3 ] ∪ [ 3; +∞ )

Объяснение:

\left \{ {{x-1\geq 0} \atop {x^{2}-9 \neq 0}} \right. \\\left \{ {{x\geq 1} \atop {(x-3)(x+3) \neq 0}} \right. \\\left \{ {{x\geq 1} \atop {\left \{ {{x\neq 3} \atop {x\neq -3}} \right. } \right. \\

Вас заинтересует