• Предмет: Математика
  • Автор: dunaevskyartrum
  • Вопрос задан 7 лет назад

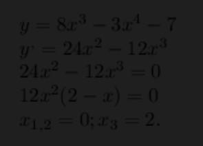
Найти точки экстремума и значения функции в этих точках y=8 x^3-3x^4-7

Ответы

Ответ дал: anastasiapetrenko274
1

Ответ:

Так как точка х=0 являетсядвойной, то производная в ней не меняет знак, следовательно эта точка не будет экстремумом, она является точкой перегиба, а в точке х = 2 производная меняет свой знак с + на - (смотрим слева направо), значит в этой точке функция будет иметь максимум. у(2)= 8*8-3*16=16. Точка максимума будет иметь координаты (2;16).

Приложения:
Вас заинтересует