• Предмет: Математика
  • Автор: katerinalisinskaa
  • Вопрос задан 7 лет назад

Помогите решить с пошаговым об'яснением
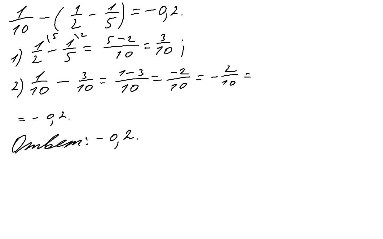
1/10-(1/2-1/5)=

Ответы

Ответ дал: ivanivanov200200200
0

Ответ:

Пошаговое объяснение:

Приложения:
Вас заинтересует