• Предмет: Алгебра
  • Автор: Аноним
  • Вопрос задан 7 лет назад

10бббббббббббббббббббббббббббббббб

Приложения:

Ответы

Ответ дал: natabyl
0

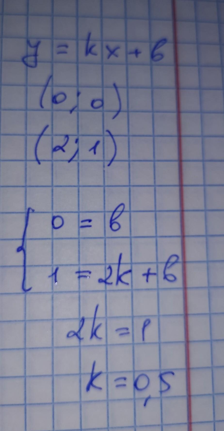
Ответ:

К=0,5

Объяснение:

см фото

Приложения:
Ответ дал: mshestakova1990
0

Ответ:

k=0,5

.................

Приложения:
Вас заинтересует