• Предмет: Алгебра
  • Автор: JuceZ
  • Вопрос задан 7 лет назад

Помогите!

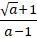
Сократите дробь

Приложения:

Ответы

Ответ дал: nv1812
1

Объяснение:

а-1 разложить как квадратов

Приложения:

JuceZ: Ой
JuceZ: Я случайно нажал на 2 звезды
JuceZ: Большое спасибо!
Вас заинтересует