• Предмет: Математика
  • Автор: misinamaria936
  • Вопрос задан 7 лет назад

помогите пожалуйста!! ​

Приложения:

Ответы

Ответ дал: Ляляляля109
0

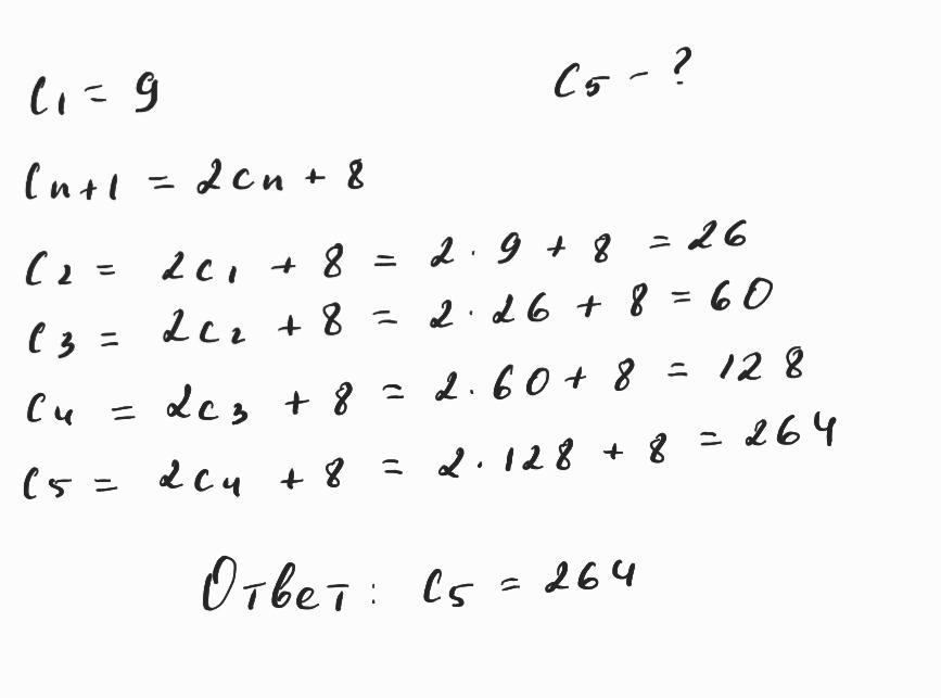
Решение представлено на фото

Приложения:
Вас заинтересует