Ответы
Ответ дал:
1
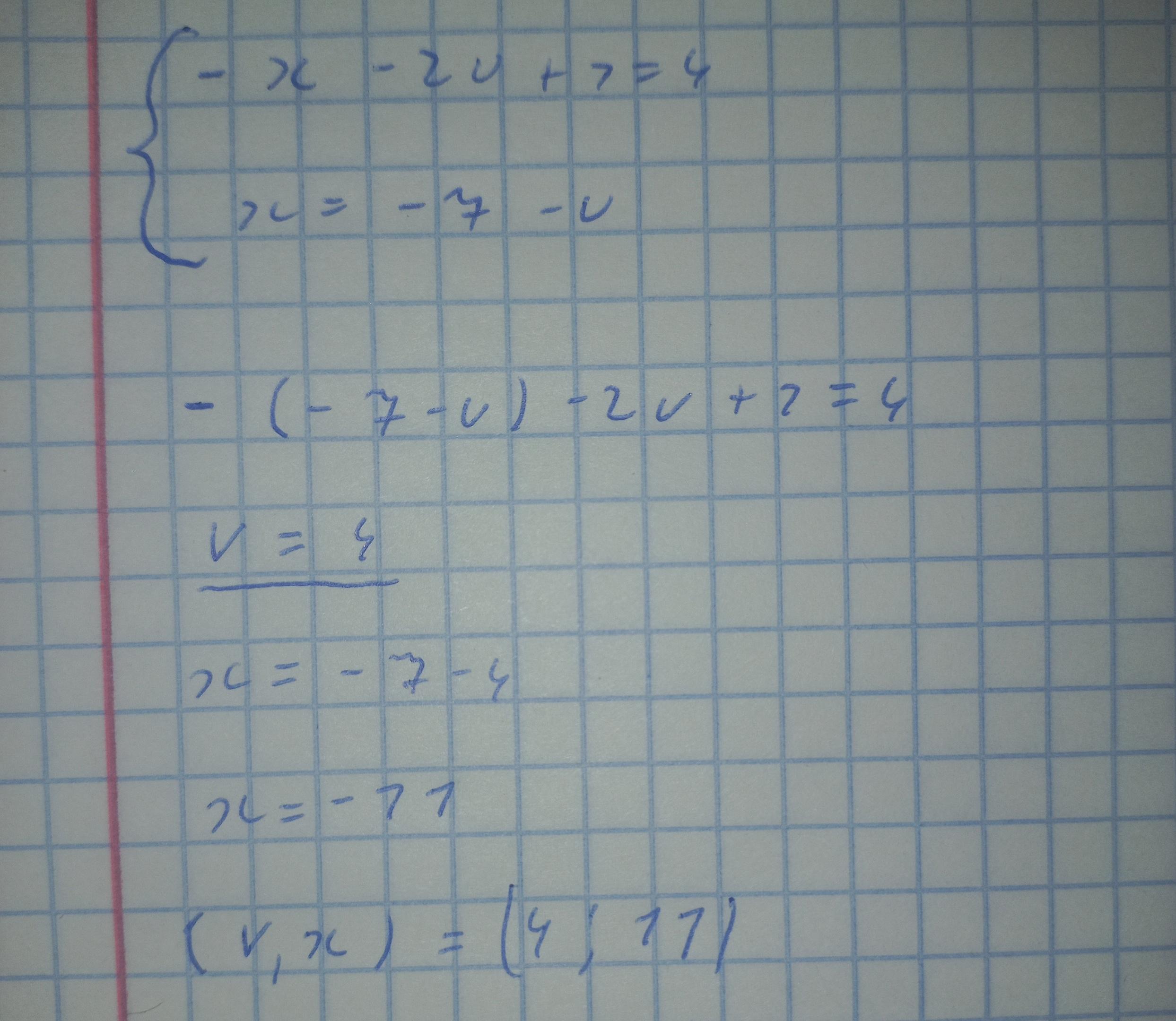
Ответ:
v=4 x=-11
Объяснение:
Приложения:

veragordeeva348:
ого,я правильно написала, спасибо тебе большое!!
Вас заинтересует
2 года назад
2 года назад
8 лет назад
9 лет назад