Ответы
Ответ дал:
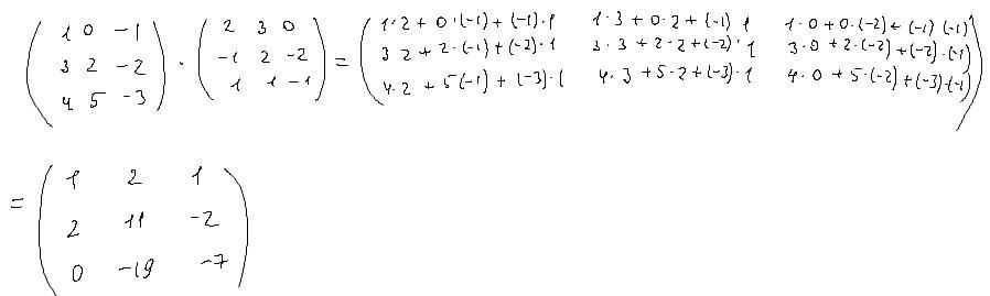
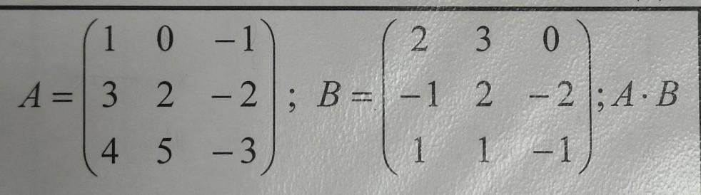
1
Ответ:
Пошаговое объяснение:
Приложения:

Demanaize:
благодарю!
Вас заинтересует
2 года назад
2 года назад
2 года назад
2 года назад
8 лет назад
8 лет назад
9 лет назад