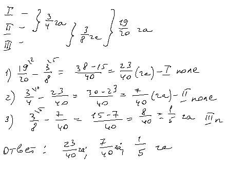
Площадь трех садов равна 19/20га. Площадь первого и второго садов равна 3/4 га ,а второго и третьего 3/8 га .Найдите площадь каждого сада.
Ответы
Ответ дал:
2
Ответ:
Пошаговое объяснение:
Приложения:

Вас заинтересует
2 года назад
2 года назад
2 года назад
2 года назад
8 лет назад
9 лет назад