• Предмет: Геометрия
  • Автор: Suvesizh
  • Вопрос задан 7 лет назад

Помогите решить ети примери я не знаю как решить ети примери пж пж пж помогите

Приложения:

Ответы

Ответ дал: Warlock1
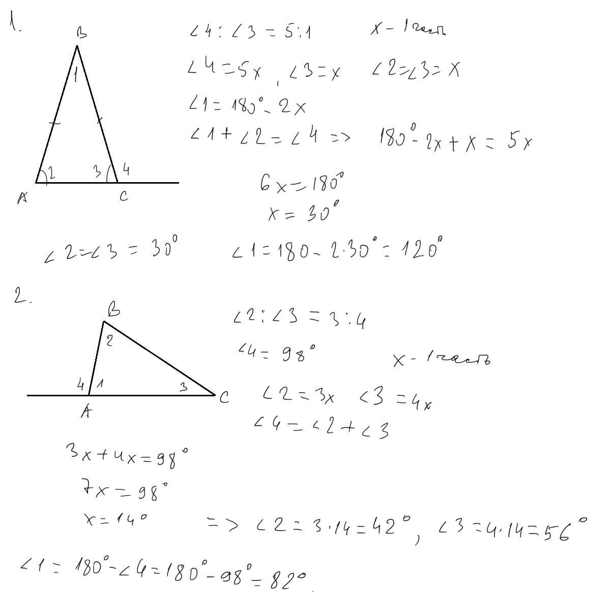
1

Ответ:

в 1м рисунок не очень похож на тупой угол, но я не знал заранее результат

Объяснение:

Приложения:
Ответ дал: LN330068
1

Ответ:

Номер 1

Внешний и смежный ему внутренний угол в сумме равны 180 градусов

5Х+1Х=180

6Х=180

Х=180:6

Х=30

Внутренний угол равен 30 градусов

Внешний 30•5=150 градусов

Углы при основании равнобедренного треугольника равны между собой

<1=<2=30 градусов

Угол при вершине

<3=180-30•2=120 градусов

Номер 2
Два внутренних угла не смежных с внешним равны его градусной мере

<1+<2=98 градусов

3Х+4Х=98

7Х=98

Х=98:7

Х=14

<1=14•3=42 градуса

<2=14•4=56 градусов

<3=180-98=82 градуса

Объяснение:

Вас заинтересует