• Предмет: Алгебра
  • Автор: NamJooonnn29
  • Вопрос задан 7 лет назад

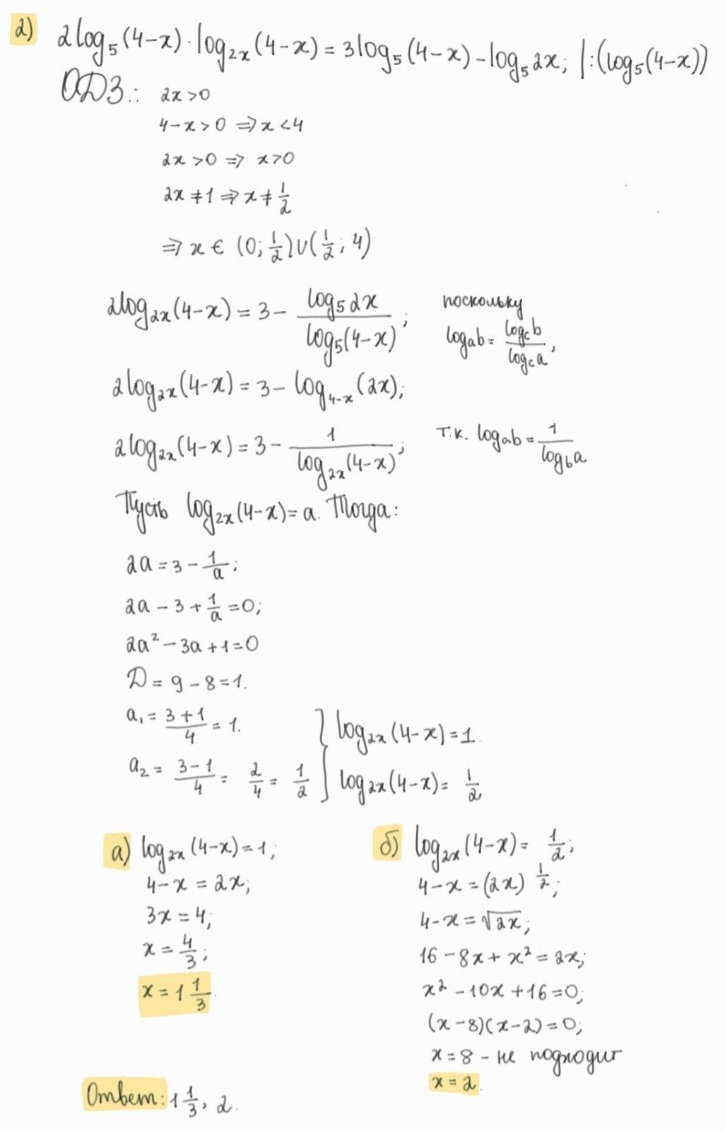
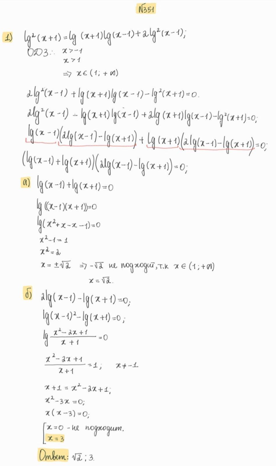
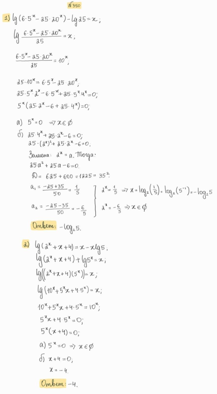
помогите пожалуйста номер 350 351​

Приложения:

Ответы

Ответ дал: Kierra
5

~~~~~~~~~~~~~~~~~~~~

Приложения:

NamJooonnn29: спасибо
NamJooonnn29: помогите и с последней задачей
NamJooonnn29: помогите пожалуйста у52 353​
https://znanija.com/task/48207422?utm_source=android&utm_medium=share&utm_campaign=question
NamJooonnn29: здравствуйте вы не могли бы мне помочь с геометрией пожалуйста
Аноним: Здравствуйте вы не могли бы вы мне помочь с геометрией пожалуйста
Аноним: Добрый вечер не могли бы помочь с геометрией, пожалуйста
Вас заинтересует