• Предмет: Химия
  • Автор: derole8433
  • Вопрос задан 7 лет назад

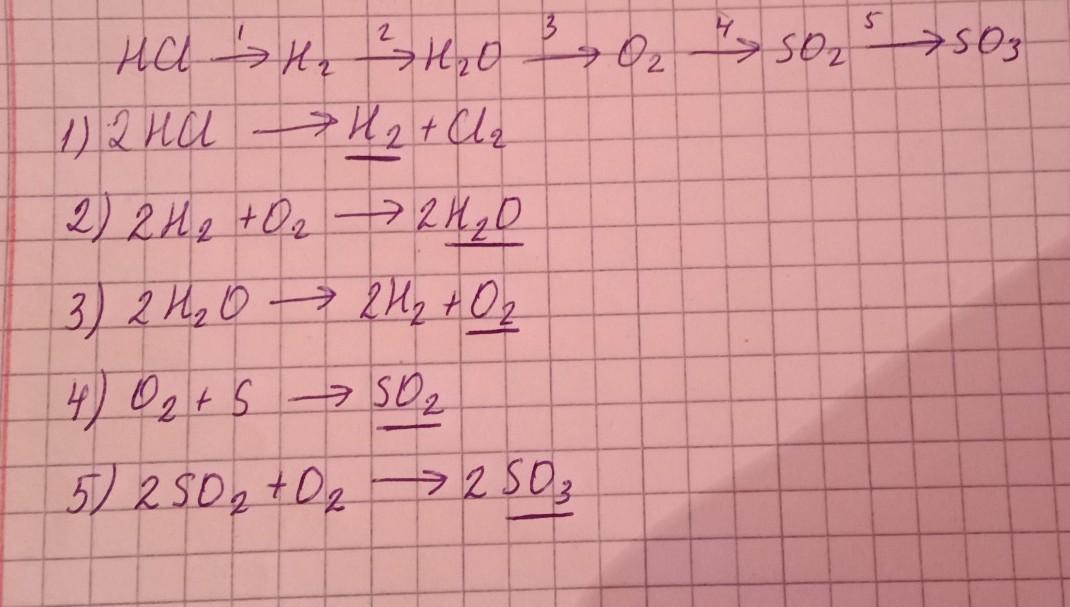
Запишите уравнения реакций с необходимыми коэффициентами, соответствующие цепочке превращения веществ:

HCl→ H2 → H2O → O2 → SO2 → SO3

Ответы

Ответ дал: standgovnopolnoe
2

2H2O = 2H2 + O2

S+02= SO2

2) 2HgO=2Hg+02 4P+502=2P205

3) 2KMnO4-K2MnO4+MnO2+02

2Cu+02=2CuO

CuO+H2=Cu+H2O

4) 2H2O2=2H2O+O2

S+O2=SO2

5) C12+H2=2HCI

2H2O = 2H2 + O2

FeS + 02 Fe203 + SO2. =

2Fe203=4Fe+302


derole8433: Спасибо!
Ответ дал: nikitask84
1

надеюсь это правильный ответ.

Приложения:

derole8433: Спасибо!
Вас заинтересует