• Предмет: Алгебра
  • Автор: 12345678900987654о
  • Вопрос задан 10 лет назад

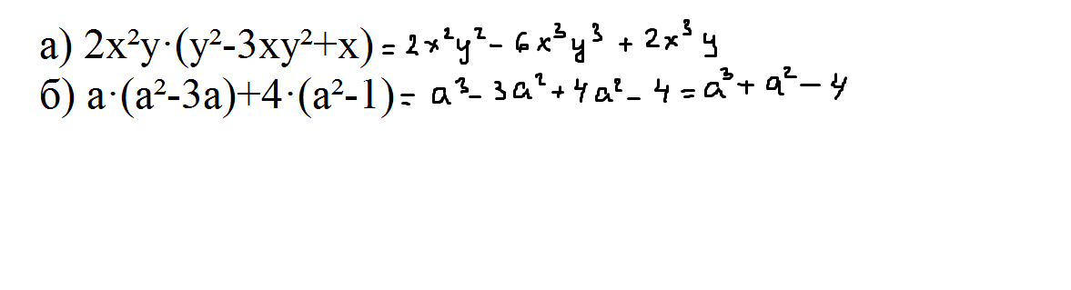
выполните действия:
а) 2х²у·(у²-3ху²+х)
б) а·(а²-3а)+4·(а²-1)
Помогите !

Ответы

Ответ дал: esmilya
0
Если понравилось решение - нажимай "спасибо" и "лучший" (рядом с кнопкой "спасибо") :)
Приложения:
Вас заинтересует