Ответы
Ответ дал:
0
Ответ:
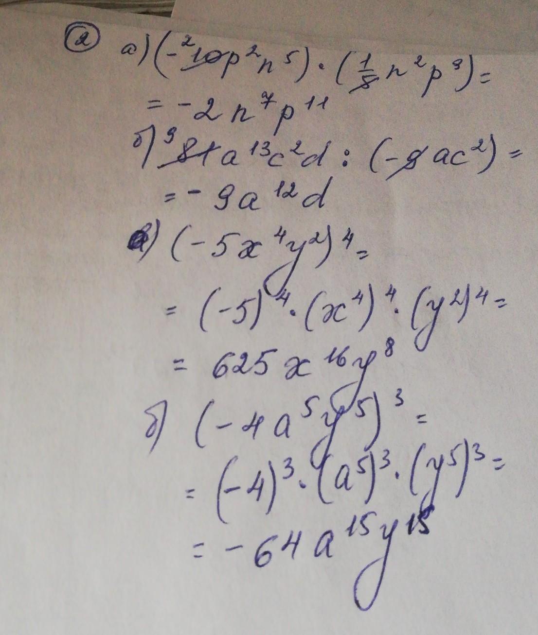
Смотри решение на фото...
Приложения:

larisaserova53:
В последнем примере под буквой б) там после скобки стоит 3 степень?
Ответ дал:
0
Ответ:
Объяснение:
2. a) (-10p²n⁵)(1/5n²p⁹) = -2p¹¹n⁷
б) 81a¹³c²d : (-9ac²) = -9a¹²d
3. а) (-5x⁴y²)⁴ = 625x¹⁶y⁸
б)(-4a⁵y⁵)³ = -64a¹⁵y¹⁵
Вас заинтересует
2 года назад
2 года назад
2 года назад
8 лет назад
9 лет назад