• Предмет: Алгебра
  • Автор: mmega2751
  • Вопрос задан 7 лет назад

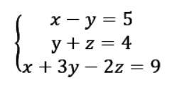
помогите Решить систему уравнений:

Приложения:

Ответы

Ответ дал: Evreika77
0

Ответ:

Объяснение:

смотри

Приложения:
Вас заинтересует