• Предмет: Алгебра
  • Автор: kiiimcka
  • Вопрос задан 7 лет назад

Помогите срочно)))))))))))))))))))))))))))

Приложения:

Ответы

Ответ дал: razikovaraihan
1

Ответ:

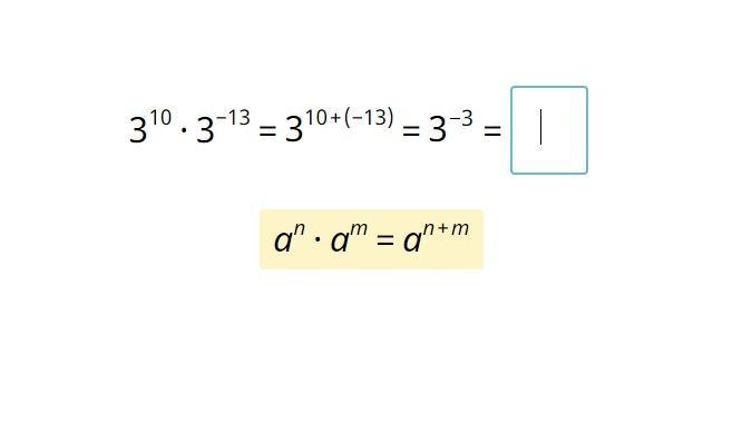
3^10+(-13)=3^-3=1/27

Вас заинтересует