Помогите пожалуйста срочно с математикой!
Если не сложно то можно расписать в) и г) <3
Приложения:

Ответы
Ответ дал:
1
Ответ:
Пошаговое объяснение:
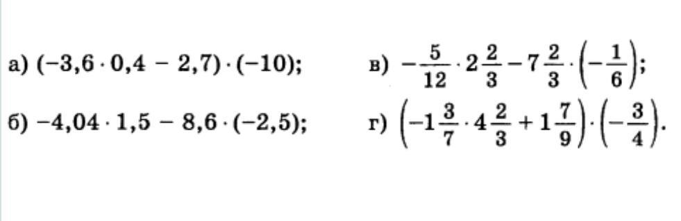
В)
1) -5/12 * 2. 2/3 = -5/12 * 8/3 = -5/3 * 2/3 = -10/9 = -1. 1/9
2) 7. 2/3 * (-1/6) = 23/3 * (-1/6) = -23/18 = -1. 5/18
3) -1. 1/9 - (-1. 5/18) = -1. 1/9 + 1. 5/18 =
-1. 2/18 + 1. 5/18 = 3/18 = 1/6
Г)
1) -1. 3/7 * 4. 2/3 = -10/7 * 14/3 = -10/1 * 2/3 = -20/3 = -6. 2/3
2) -6. 2/3 + 1. 7/9 = -6. 6/9 + 1. 7/9 =
-5. 15/9 + 1. 7/9 = -4. 8/9
3) -4. 8/9 * (-3/4) = -44/9 * (-3/4) = -11/3 * (-1/1) = 11/3 = 3. 2/3
frogpretty546:
Спасибо большое <3
Вас заинтересует
2 года назад
2 года назад
2 года назад
8 лет назад
8 лет назад
9 лет назад
9 лет назад