Ответы
Ответ дал:
0
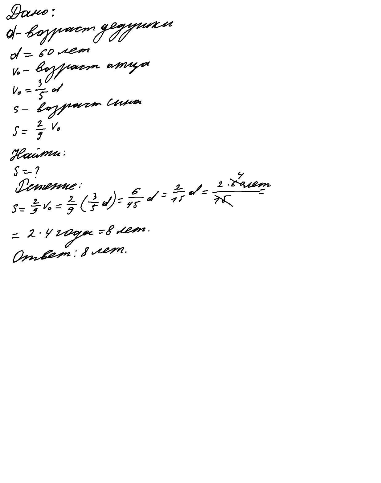
1)60•3/5=36(лет)-возраст отца
2)36•2/9=8(лет)-возраст сына
2)36•2/9=8(лет)-возраст сына
Ответ дал:
1
Ответ: Решение и ответ приведены в прикреплённых файлах.
Пошаговое объяснение:
Приложения:

samirzanov:
Я твой почерк не понимаю
Вас заинтересует
2 года назад
2 года назад
2 года назад
2 года назад
8 лет назад
9 лет назад