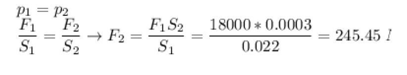
Поршень гидравлического пресса площадью 200 см действует на сдавливаемое тело с силой 18 кн. Площадь малого поршня - 6 см. Найди, с какой силой действует меньший поршень на масло в прессе. 2 Ответ (округли до десятых)
Ответы
Ответ дал:
0
ответ на фото, удачи
Приложения:

Вас заинтересует
2 года назад
2 года назад
2 года назад