Ответы
Ответ дал:
1
привет,если я тебе помогла сделай мой ответ лучшим пожалуйста.и если что-то непонятно пиши
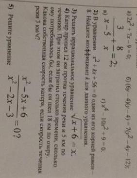
3. √x+6=x
x+6=x²
x+6-x ²=0
-x ²+x+6=0
x ²-x-6=0
x ²+2x-3x-6=0
x*(x+2)-3x-6=0
(x+2)*(x-3)=0
x+2=0
x-3=0
x=-2
x-3=0
√-2+6 = -2
x=3
2=-2
√3+6 = 3
x≠-2
3=3
x=3
Ответ:x=3
5.x ²-5x+6/x ²-2x-3 =0
x ²-2x-3x-6/x ²-2x-3 =0
x*(x-2)-3x+6/x ²+x-3x-3=0
(x-2)*(x-3)/x*(x+1)-3(x+1)=0
(x-2)*(x-3)-(x-3) зачеркни / (x+1)*(x-3)-зачеркни
Сокращаем дробь на x-3
x-2/x+1=0
x-2=0
x=2
Ответ:x=2
3. √x+6=x
x+6=x²
x+6-x ²=0
-x ²+x+6=0
x ²-x-6=0
x ²+2x-3x-6=0
x*(x+2)-3x-6=0
(x+2)*(x-3)=0
x+2=0
x-3=0
x=-2
x-3=0
√-2+6 = -2
x=3
2=-2
√3+6 = 3
x≠-2
3=3
x=3
Ответ:x=3
5.x ²-5x+6/x ²-2x-3 =0
x ²-2x-3x-6/x ²-2x-3 =0
x*(x-2)-3x+6/x ²+x-3x-3=0
(x-2)*(x-3)/x*(x+1)-3(x+1)=0
(x-2)*(x-3)-(x-3) зачеркни / (x+1)*(x-3)-зачеркни
Сокращаем дробь на x-3
x-2/x+1=0
x-2=0
x=2
Ответ:x=2
dd147143:
большое спасибо ,а можешь помочь с первым номером, особенно с примером в,я его вроде сделал ,но не уверен)
в)3/x-5+8/x=2
3/x-5+8/x-2=0
3x+8(x-5)-2x*(x-5)/x*(x-5)
3x+8x-40-2x*(x-5)/x*(x-5)=0
21x-40-2x ²/x*(x-5)=0
21x-40-2x ²=0
-2x ²+21x-40=0
2x ²-21x+40=0
2x ²-5x-16x+40=0
x*(2x-5)-16x+40=0
(2x-5)*(x-8)=0
2x -5=0
x-8=0
x=5/2
x-8=0
x=5/2
x=8
ответ:x1=5/2
x2=8
3/x-5+8/x-2=0
3x+8(x-5)-2x*(x-5)/x*(x-5)
3x+8x-40-2x*(x-5)/x*(x-5)=0
21x-40-2x ²/x*(x-5)=0
21x-40-2x ²=0
-2x ²+21x-40=0
2x ²-21x+40=0
2x ²-5x-16x+40=0
x*(2x-5)-16x+40=0
(2x-5)*(x-8)=0
2x -5=0
x-8=0
x=5/2
x-8=0
x=5/2
x=8
ответ:x1=5/2
x2=8
б)(6y-4)(y-4)=7(y ²-4y-12)
6y ²-24y-4y+16=7y ²-28y-84
-y ²=-100
y ²=100
y1=10,y2=-10
6y ²-24y-4y+16=7y ²-28y-84
-y ²=-100
y ²=100
y1=10,y2=-10
а)2x ²+7x-9=0
D=b ²-4ac
D=7 ²-4*2*(-9)=49+8*9=49+72=121=11²
x1,2=(-b+-√d)/2a
x1=(-7+11)/4=4/4=1
x2=(-7+11)/4=-18/4=-4,5
D=b ²-4ac
D=7 ²-4*2*(-9)=49+8*9=49+72=121=11²
x1,2=(-b+-√d)/2a
x1=(-7+11)/4=4/4=1
x2=(-7+11)/4=-18/4=-4,5
Вас заинтересует
2 года назад
2 года назад
3 года назад
8 лет назад
8 лет назад
10 лет назад
10 лет назад