• Предмет: Информатика
  • Автор: izimov00zharas
  • Вопрос задан 7 лет назад

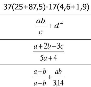
37(25 + 87, 5) -17(4,6+1,9) (ab)/c + d ^ 4 (a + 2b - 3c)/(5a + 4) (a + b)/(a - b) + (ab)/3.14
пожалуйста сделайте даю 20 балов ​

Приложения:

Ответы

Ответ дал: petrovanikol2011
1

Ответ:

надеюсь что тебе помогла

Приложения:
Вас заинтересует