• Предмет: Математика
  • Автор: Artemshel05
  • Вопрос задан 7 лет назад

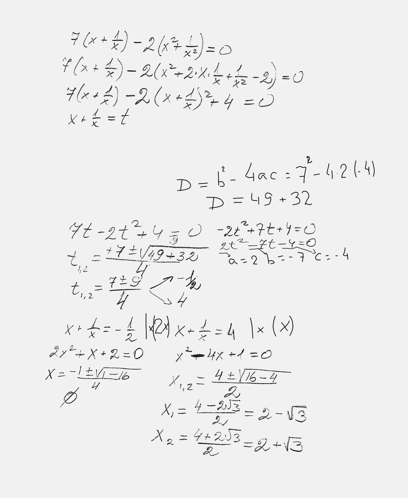
7(x+1/x)-2(x^2+1/x^2)=0​


bel72777: Не выделены числители.

Ответы

Ответ дал: MatemaX9
2

Ответ:

самый удобный способ выделить полный квадрат и произвести замену переменных. Все в приложении. Если непонятно,задавайте вопросы.

Пошаговое объяснение:

Дискриминант равен Д=в²-4ас   , в приложении написано а=2 ,в=-7 и с=-4 (после того,как умножили уравнение на -1 ,

чтобы избавиться от - перед квадратом х.

когда решаем уравнение подстановки ,то в первом случае домножаем на 2х обе части уравнения,а во втором просто на х обе части уравнения , знаменатель сокращается и получается простое квалратное уравнение. (это для тех,кто плохо увидит мои записи)

Приложения:
Вас заинтересует