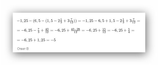
Раскройте скобки и упростите выражение: .1,5-(6,5-(1,5+-2 (целых) 13+3 (целых) 712))). А.(-4) В.(-5) С.7 D.8. ЕСЛИ ПОЛУЧИТСЯ ОДИН ИЗ ЭТИХ ВАРИАНТОВ БУДЕТ ЛУЧШИМ!
Ответы
Ответ дал:
0
Ответ В
Приложения:

Ответ дал:
0
где то косяк у тебя скорей :D
Вас заинтересует
2 года назад
2 года назад
8 лет назад
8 лет назад
10 лет назад
10 лет назад
10 лет назад