Ответы
Ответ дал:
0
Решение представлено на фото
Приложения:

Ответ дал:
0
Ответ
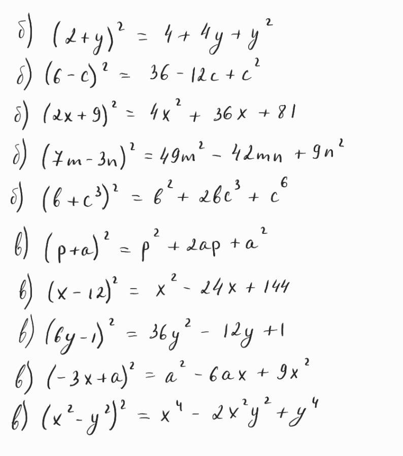
1) б) y²+4у+4 в) р²+2ар+а²
2 б) с²-12с+36 в) х²-24х+144
3)б) 4х²+36+81 в) 36у²-12у+1
4)б)49m²-42mn+9n² в) а²-6ах+9х2
5)б) b²+2bc³+c⁶ в) х⁴-2х²у²+у⁴
Вас заинтересует
2 года назад
2 года назад
2 года назад
8 лет назад
8 лет назад
9 лет назад
9 лет назад