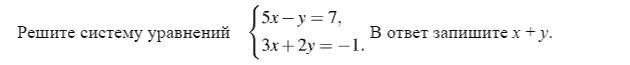
Помогите!!!!!!!!!!!!!!!!!!!!!!!!!!!!
Приложения:

Simba2017:
из первого y=5x-7 и во второе 3x+2(5x-7)=-1
Ответы
Ответ дал:
2
Ответ:
-1
Объяснение:
5x-y=7. *2
3x+2y=-1
+ 10x - 2y=14
3x+2y=-1
13x=13
x=1
3 (х уже нашли) +2y= - 1
2y = - 4 ( в другую сторону 3, становится с -)
y = - 2
x + y= 1 + ( - 2) = - 1
Вас заинтересует
2 года назад
2 года назад
8 лет назад
8 лет назад
9 лет назад
9 лет назад