• Предмет: Математика
  • Автор: mctoh
  • Вопрос задан 7 лет назад

Найти площадь фигуры ограниченную линиями y=x^{3} и y=2x; y=x


Vopoxov: или нужна фигура, ограниченная: у = 2х (слева, сверху), у = х(снизу) у = х³(справа)
Vopoxov: Я знаю, как это решается.
Vopoxov: Проблема в прочтении условия: "...между прямой у = х³ и у = х; у = 2х..."
mctoh: Начало решения это 2 системы: y=x^3 и y=x, вторая система y=x^3 и y=2x
Vopoxov: Пунктуация меня очч сильно смущает. И второй вопрос:
Vopoxov: Есть фигура в I четверти координатной плоскости и фигура в IV четверти координатной плоскости. Их считать как одну?
Vopoxov: Простите, вторая фигура в III четверти
mctoh: Они симметричны, преподаватель сказал считать площадь одной фигуры, а потом просто на 2 домножить ответ
Vopoxov: Тогда, строго, "по преподу" говоря - "она симметрична";)
mctoh: дя :3

Ответы

Ответ дал: Vopoxov
1

Ответ:

S_{obw} = 1.5

Пошаговое объяснение:

1. Очевидно, что прямые

у = х и у = 2х

пересекаются только в т. (0; 0).

Найдем пересечения прямых с графиком ф-ии

у = х³

Для этого - составим и решим системы (см. на рис.)

Для у = х и у = х³ это 3 точки

(-1;-1),\; (0;0),\;(1;1)

Для у = 2х и у = х³ это 3 точки

(- \sqrt{2} ; \,-2 \sqrt{2}),\; (0; \, 0),\;( \sqrt{2} ; \,2 \sqrt{2} )

2. Построим графики функций (см. рис.)

у = х;

у = х; у = 2х

у = х; у = 2ху = х³

(Примечание: Т.к. искомая фигура симметрична относительно (0;0), мы рассмотрим только половину искомой фигуры, расположенную в I четверти. Соответственно, полную площадь вычислим, удвоив полученный результат)

3. Искомую площадь удобнее искать, разбив на две части S1 и S2:

------------------------------------

Первая часть S1 (на промежутке [0; 1]) будет равна:

площадь -ка под у = 2х на промежутке [0; 1]

минус

площадь ∆-ка под у = х на промежутке [0; 1]

------------------------------------

Вторая часть S2 (на промежутке [1; √2]) равна:

площадь ∆-ка под у = 2х на промежутке [1; 2]

]минус

площадь трапеции под у = х³ на промежутке [1; √2]

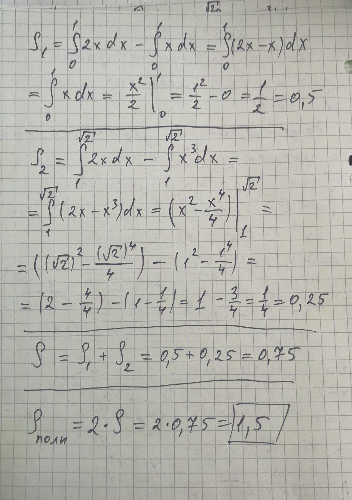
Нахождение S1, S2 производим путем вычисления определенных интегралов (см. рис.)

Получаем:

S_1 = 0.5; \:  \:  \:  \:  S_2 = 0.25;\\

В сумме это будет

S = S_1 +S_2 = 0.75;\\

А полная площадь фигуры (с учетом симметричной части в III четверти)

S_{obw}=2\cdot 0.75 = 1.5

Приложения:

mctoh: Спасибо огромное
Вас заинтересует