• Предмет: Алгебра
  • Автор: vladimireliseev084
  • Вопрос задан 7 лет назад

с решением пожалуйста

Приложения:

Ответы

Ответ дал: nellpo
0

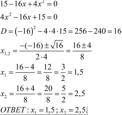
Решение во вложении.

Приложения:
Ответ дал: Weburok
0

4x^2-16x+15=0


D=b^2-4ac


D=16^2-4*4*15=256-240=16


X1,2= — b+ — корень из D


             ——————————


                     2a



X1=16+4   =  20:8=2,5


     ———


             8



X2=16-4   = 12:8=1,5


      ——-


             8


Ответ: X1=2,5; X2=1,5

Вас заинтересует