• Предмет: Математика
  • Автор: Needhelp26
  • Вопрос задан 7 лет назад

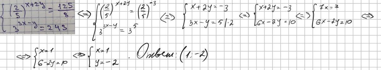
Решите систему уравнений :
(2/5)^х+2у = 125/8
3^3х-у = 243
очень нужно ! помогииите​
(с подробным решением пожалуйста)

Приложения:

666Ilya: Просто совет: скачай приложение Photomath, оно легко посчитает за тебя, а тут решение написать сложно. Но, если что, ответ (1;-2)
Needhelp26: ок, спасибоо

Ответы

Ответ дал: Ilyazov45
1

----------------------------

Приложения:

Needhelp26: можете пожалуйста помочь с ещё одной системой?
Вас заинтересует