• Предмет: Математика
  • Автор: isisjhebr
  • Вопрос задан 7 лет назад

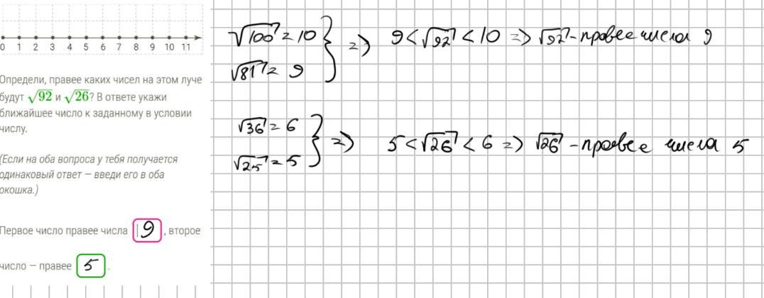
8. Сравнение иррациональных чисел​

Приложения:

Ответы

Ответ дал: Shilkinn
0

Первый ответ - 9

Второй ответ 5

Приложения:
Ответ дал: Ilyazov45
0

-------------------------------

Приложения:
Вас заинтересует