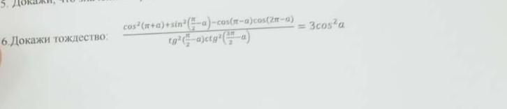
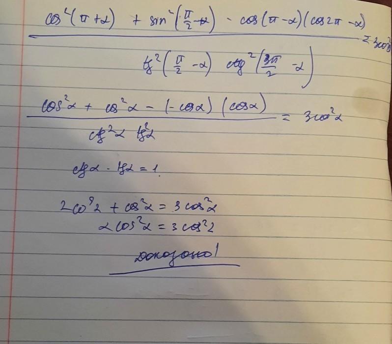
докажи тождество: cos²(pi+a)
Приложения:

ismanagi:
dmiratkyzy Есть ответы на урок «Площади вписанного треугольника и описанного многоугольника. Урок 3» ?
Ответы
Ответ дал:
1
Ответ:
.........................
Приложения:

Вас заинтересует
2 года назад
8 лет назад