Ответы
Ответ дал:
1
я подробно не делала, но думаю ты поймешь
Приложения:

Ответ дал:
0
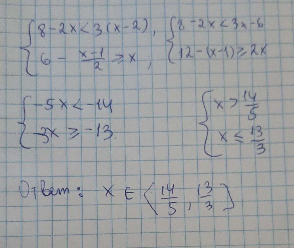
Ответ:
Пошаговое объяснение:
8 - 2х < 3(х - 2)
6 - (х-1)/2 ≥ х | * 2
8 - 2х < 3х - 6
12 - (х - 1) ≥ 2х
8 - 2х < 3х - 6
12 - х + 1 ≥ 2х
-2х - 3х < -6 - 8
-х - 2х ≥ -12 - 1
-5х < -14
-3х ≥ -13
х > -14 : (-5)
х ≤ -13 : (-3)
х > 14/5
х ≤ 13/3
х > 2. 4/5
х ≤ 4. 1/3
х є (2. 4/5; 4. 1/3]
Вас заинтересует
2 года назад
2 года назад
2 года назад
8 лет назад
8 лет назад
9 лет назад