• Предмет: Алгебра
  • Автор: valeriaegorova2008
  • Вопрос задан 7 лет назад

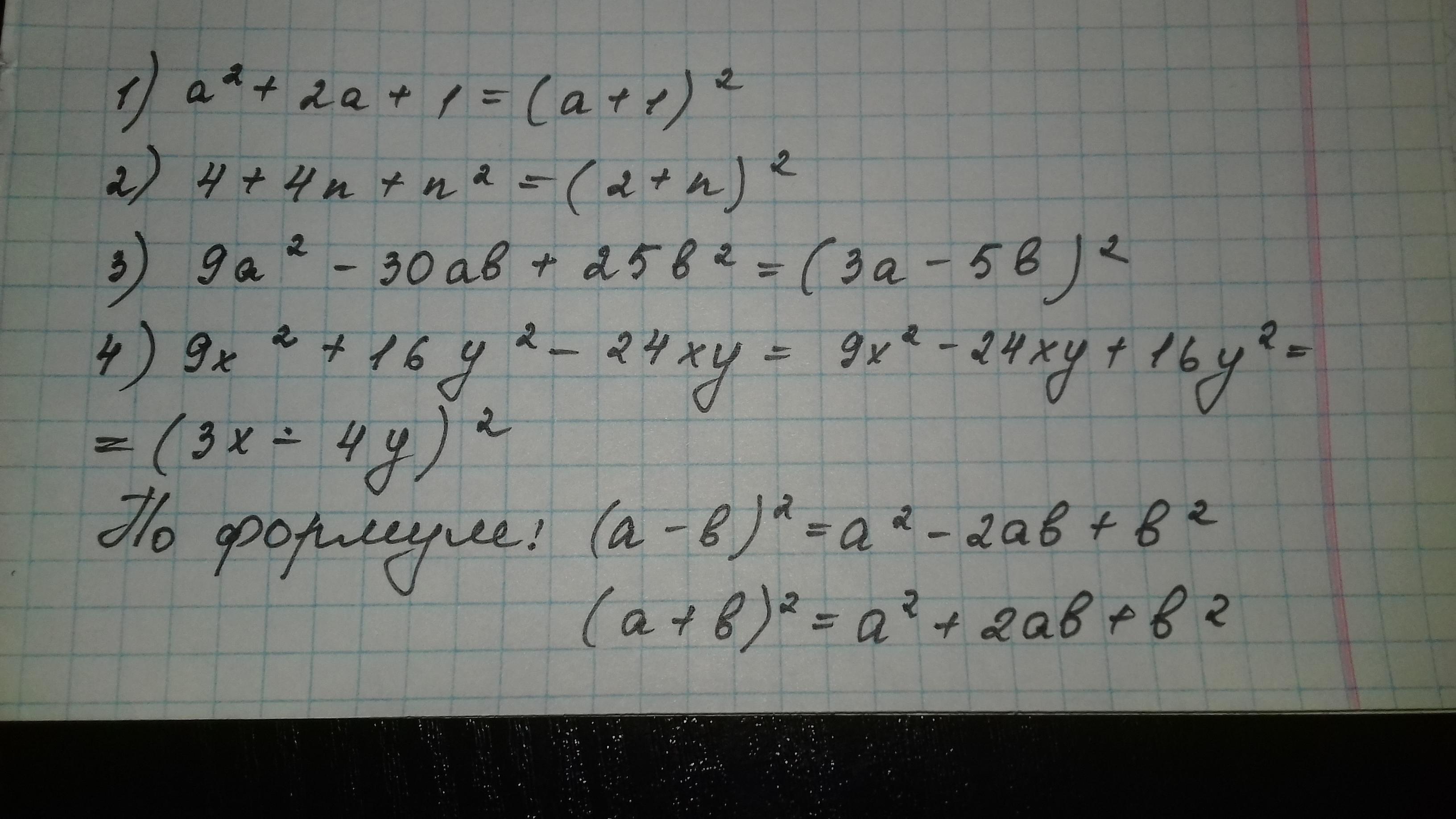
подайте тричлен у вигляді квадрата двочлена:1)а²+2а+1
2)4+4n+n²
3)9a²25b²-30ab
4)9x²+16y²-24xy

Ответы

Ответ дал: dimashnurmash777
0

Ответ:

2 будет ............?..

Ответ дал: sadykovanatalya2004
1

Ответ:

смотри фото ниже.

Объяснение:

Приложения:
Вас заинтересует